Will the populist wave crash over South Africa?
With the globe-spanning rise of right-wing populism, there may be good reason to fear for South Africa’s fledgling democracy.

Church Square Pretoria, South Africa. Image credit Vladimir Varfolomeev via Flickr CC BY-NC 2.0
Twenty-eight years in, South Africa’s democratic order is in a bad place. Warning signs are to be found everywhere one looks. Several years after Jacob Zuma’s kleptocratic presidency, the state remains mired in corruption and mismanagement and is failing to reverse a catastrophic decline in basic services and infrastructure. Its security apparatus, deeply penetrated by criminal and seditious elements, seems powerless in the face of growing political violence and gangsterism. Populist parties are gaining ground, while demagogic, anti-constitutional voices increasingly dominate social media and fuel a new wave of xenophobic violence. Polls show collapsing support for democracy and growing receptiveness to authoritarian forms of government.
All of these morbid symptoms are well chronicled in a now daily stream of commentary issuing earnest warnings and dire prognostications about the fate of our democracy. These concerns are made far more acute by the gloomy international backdrop against which they are set. According to a growing consensus among political scientists, the world is in the midst of a “third wave of autocratization” ushered in by the 2008 financial crisis. That crisis definitively concluded the long expansive phase of democratization that had begun in the 1970s. Since then, fewer and fewer countries have seen any improvement in the health of their democratic institutions, while the number of places experiencing democratic “backsliding” has shot up.
Democracy’s retreat is conterminous with the globe-spanning rise of right-wing populism. Populists now control the government in numerous countries of the Global South, including major economies such as Brazil, India, the Philippines, and Turkey. In most cases, they assumed power through free and fair elections. But they’ve wasted little time in turning on and undermining those democratic freedoms once in office. Coups and full-blown dictatorships have been rare in the current authoritarian wave—its modal form has been the hollowing out of democratic institutions from the inside by incumbent governments. Populists have also claimed power in a handful of OECD countries, and have become a major electoral force in most others, often ending decades of duopolistic control by centrist parties.
The scope of these trends suggests that they are being propelled by deep structural forces. On the Left it is common to see populism as an expression of the intractable crises of the current, neoliberal stage of global capitalism. Neoliberalism’s most salient hallmarks have been soaring inequality and petering growth. It has given rise to both an unprecedented, decades-long stagnation in living standards at the bottom of the class ladder and a historically novel scale of wealth accumulation at the top. In this reading, populism is at root a reaction to the iniquities of our current Gilded Age, one that has assumed nativist forms due to the Left’s inability to offer meaningful alternatives to market-led globalization.
If it’s true that hard-edged economic forces are driving forward the populist tide then there is every reason to fear deeply for the fate of South African democracy. Even when measured against the subpar averages of the neoliberal era, post-Apartheid South Africa’s economic record has been exceedingly dire. Growth over the last decade has been negative in per capita terms. Inequality still registers higher than any other large economy. So does unemployment, by extraordinary margins. A jobless rate hovering for decades at levels normally only seen in the most severe recessions is the grimmest and most distinctive feature of South Africa’s economic malaise.
According to most analysts, the populist turn is already well underway here. Its main incarnation until now has been the Economic Freedom Fighters (EFF) led by Julius Malema. When the EFF launched in 2013, its “Marxist-Leninist-Fanonian” program combined appeals to class and ethnicity in roughly equal measure. Since then, class issues have gradually fallen off in its agenda, while the racial identities it invokes have grown narrower and more chauvinistic, bounded by anti-Indian and now anti-foreign vitriol. It increasingly converges with the populist movement that gestated within the ANC during Jacob Zuma’s tenure, now organized under the banner of “Radical Economic Transformation” (RET).
The “Radical Economic Transformation” faction also garbs itself in the symbolism of the Left, but its true nature is plain to see: it represents the most voraciously corrupt elements of the ANC, intent on reviving the Zuma-model of statecraft in which the fiscus is treated as a giant slush fund for the accumulation of “tenderpreneurs.” In the course of the last year, the RET faction lost several key battles in its fight with the group aligned to the ANC’s current president, Cyril Ramaphosa. But its continued vitality, and capacity for disruption, were demonstrated last July when it unleashed several days of chaos on the country following Zuma’s arrest for contempt of court.
Last November’s local government elections, in which support for the ANC sunk to its lowest levels yet, saw the sprouting of smaller new populist formations and ethnic parties. Notable among them is ActionSA, led by former Johannesburg mayor Herman Mashaba. Mashaba is a self-made businessman and an open admirer of Donald Trump. He first took office in 2016 as a member of the center-right Democratic Alliance (DA), the dominant white party, but split from it three years later, after it veered into culture-war politics and began purging most of its black leadership. In 2020 he formed ActionSA around a more conventional right-populist platform of anti-corruption and strident xenophobia. That message proved popular in November, winning the party an average of 16.1% in the wards that it contested in Johannesburg.
With South Africa’s economic and social crises magnifying each year, and with the populist tide sweeping forward unabated around the world, even in places of far less economic distress, it’s not hard to see why so many analysts feel that’s it’s only a matter of time before South Africa succumbs to an authoritarian movement promising order amidst the chaos.
Populism there and here
But as Adam Prezworski reminds us in a recent book on the global crisis of democracy, structural pressures emanating from the world system are always refracted through national political contexts. The populist wave has not been monolithic but has comprised distinct variants of populism, rooted in different social bases and developing along distinct political trajectories. It’s not clear that any of these provide a clear signposting of where South Africa is headed.
Take Northern Atlantic countries for example. Populist successes there have plainly been connected to economic polarization. Plenty of micro-level evidence links growing populist support to trade shocks and deindustrialization. But these forces have been at work for decades. We could not understand why the response to them took the form it did, when it did, without looking at the transformation of political institutions, in particular the declining vitality of party democracy and the crisis of representation to which it has given rise.
The last several decades have seen the decline and hollowing out of mass-based political parties, on both sides of the spectrum but particularly the Left. Membership rolls have shrunk, participation has grown more fleeting and electoral turnout has diminished. Affiliated civic organizations, such as social clubs, newspapers, mutual aid societies, and, crucially, trade unions, have withered—part of a broader decline in associational life that extends down to the neighborhood and community level, leaving Western societies far more atomized. This has produced a deep “void” where once a dense thicket of institutions mediated the relationship between states and individuals.
These trends are themselves closely linked to the way that neoliberal globalization attenuated democratic life by cordoning off large areas of economic policy behind technocratic control. Social democratic parties collaborated fully in this process, which lent momentum to “Brahminization”—their parting of ways with the working class and re-orientation to highly educated urban professionals. It’s no surprise that populists, who’ve harnessed the anger stoked by a detached and unrepresentative political elite, have made their largest gains in blue-collar towns and rural areas, particularly those most devastated by globalization.
It’s striking to consider how different the dynamics of mass politics have been in post-Apartheid South Africa. If one measures it from the high-water mark of popular mobilization following the downfall of Apartheid, one would of course detect clear signs of decline in the vibrancy of civil and political organizations. But no “void” has ever yawned at the center of our political space. Where one might have been, the ANC has continued to loom large.
Indeed, even as its own electoral support has slowly declined, the ANC’s membership rolls have ballooned. Between 2002 and 2007 total membership climbed from 400,000 to 1.2 million and has since crept higher. Some fraction of these are ghost members or passive clients, added to the rolls to inflate the delegate power of one or another faction. But even accounting for these distortions the numbers suggest a vast expansion of the ANC’s reach. And that reach doesn’t end at the boundaries of the party. The trade unions and civil society bodies in its orbit may have ceased to be organs of grassroots democracy, but many continue to operate at some kind of mass scale, with fairly deep penetration into workplaces and communities.
While mass parties were disappearing from the scene in Europe, the ANC was fusing itself with the state and using its control over public employment and procurement to become a giant engine of class formation among the historically disadvantaged. It facilitated a vast lateral flow of rents through tenders and state contracts, creating a client business class. But it also ensured a steady flow of patronage downwards in the form of public jobs, smaller-scale tenders, and service delivery.
Local ANC branches, often supported by civil society groups like SANCO, have assumed a key brokerage role in this—interfacing with communities and managing the exchange of resources for the political support that undergirds the ANC’s hold on power. To some extent they also allow grievances to be conveyed upwards, facilitating some responsiveness of the state to local needs. So rather than the citizenry being entirely cut off from political life through the loss of mediating organizations, in South Africa there has been a proliferation of local points of (indirect) contact with the state, affording representation through clientelist arrangements.
The situation is changing – fiscal constraints and factionalization are throwing the party-state into crisis and eroding the ANC’s support, but these are still nascent trends. It’s thus no surprise that the dominant expressions of populism that we’ve so far seen have emerged not in the vacuum of an emptied political space, but from within the dominant party. The EFF and RET are often likened to right-wing populisms abroad because of their authoritarian, nationalistic and increasingly xenophobic tendencies. But beyond identifying a few common traits these analogies tend not to be especially helpful. The EFF and RET are distinctive beasts occupying a very unique political niche.
If we’re concerned primarily with assessing their prospects, then two key points of distinction are worth highlighting. The first is that the two are offshoots of the governing party, the latter still formally a part of it. After Malema’s split from the ANC, he managed initially to maneuver his new party into a very strategic position: able to claim a provenance in the Congress movement with all the symbolic benefits that entail, but independent enough to avoid association with its dismal record in power. The EFF sought to cast itself in the traditional role of the ANC Youth League, which Malema once led, as the radical conscience of its mother body. That position has now been lost. Driven by the sheer venality of its leadership, the EFF has re-enmeshed itself into the patronage networks of the party-state and started to openly align with the RET faction. The two are increasingly seen by commentators, and likely by the electorate, as manifestations of the same social essence.
The ties of both of these formations to the party-state will naturally limit the extent to which they are able to capitalize on anti-political and anti-elite sentiment. Outsidership has been an essential ingredient of the success of populist movements abroad, even when led by bona fide elites like Trump or career politicians like Modi. They’ve almost universally put anti-corruption and demands to “drain the swamp” at the center of their platforms. Neither the EFF nor RET will have successful recourse to the same tactics. Indeed, both are already themselves tainted—quite accurately—with a stigma of corruption and this probably goes far in explaining their inability, so far, to muster broad public support beyond a militant core.

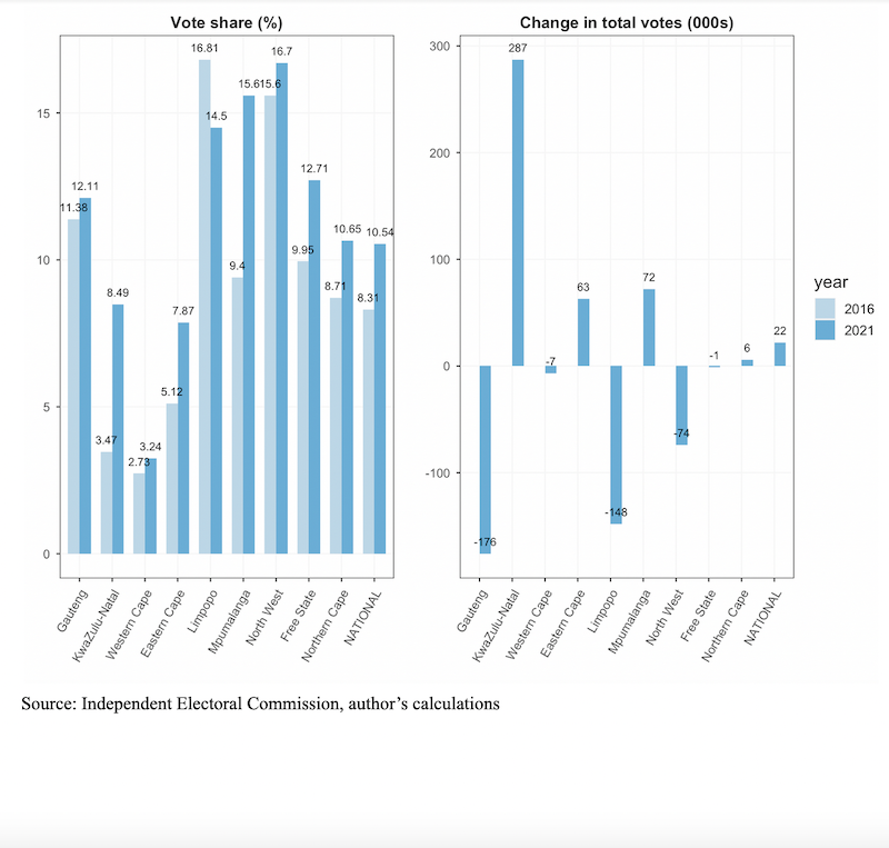
The EFF grew extremely rapidly in its early days, and has shown a consistent capacity for impressive street-level mobilization, but has been stagnating at the polls for the last several years. The 10.5 % it netted in local government elections last year, a 2% bump from five years prior, is a poor result given a context favorable to populist messaging. Its growth in 2021 came overwhelmingly from KwaZulu-Natal (KZN) province, where it benefitted—along with all other opposition parties—from the ANC’s hemorrhaging support in the wake of the July unrest (Table 1). In Gauteng and other provinces, it proved as susceptible as other major parties to collapsing turnout, which reflects poorly on its ability to capture anti-political sentiments.
Leaders of the RET faction, for their part, appear to be broadly disliked by the general public. Zuma’s approval rating when he left office was 25% (net -48%). Suspended ANC Secretary-General Ace Magashule, the second most high profile RET figure, has an approval rating of around 11% while Malema’s is 26%. Compare this with Ramaphosa, whose approval rating has fluctuated between 60 and 80%.
The second thing that distinguishes these groups from populist authoritarians abroad is the enmity they face from dominant sections of capital. Populism has not generally been the preferred choice for most large-scale capitalists, but neither has it been viewed as any kind of first-order threat. As typified in Trump’s tax breaks, populists in government have generally shown a willingness to offset potentially harmful protectionist policies with other kinds of giveaways to big business. In some cases, like Modi’s India, the relationship between the two has been deeply congenial from the start.
That won’t be the case for the EFF or RET. Both have made opposition to so-called “white monopoly capital” a defining part of their agenda. Whether it’s one they would actually stick to in power is a different question. They are in the end oligarchic movements, dominated by elites whose ability to extract rents from the state will ultimately depend on there being some measure of economic stability, which will deter any inclination to tamper with property rights. Still, a return to the untrammeled looting of state resources is not an agenda they are likely to divert from, and that means there will be no easy accommodation between them and large-scale capital.
In this sense, the EFF and RET are radical movements, even if there’s nothing progressive about them. They are a threat to dominant economic interests. Unfortunately, for them, this means they will confront the same challenges as other radical movements. In addition to facing powerful counter-mobilization from big business, they will have to contend with the latter’s structural power, stemming from its control over investment and unemployment. Parties that don’t kowtow to “business confidence” risk being branded as economic wreckers, which makes it far harder for them to appeal to middle-ground voters. In this way, capitalist opposition will not only constrain what RET populists are able to do with power, but their ability to lay hold of it in the first place.
The limits of middle-class populism
Perhaps a better place to look for precedents in trying to gauge populism’s local prospects is South Africa’s BRICS partners, Brazil and India. The populist turn in those countries has taken a very different form to the West. Neoliberalism shaped the broader context in which it unfolded. However, the sociologist Patrick Heller argues that the proximate causes of the realignments that brought Bolsanaro and Modi to power have more to do with the ways that previous governments deviated from orthodox neoliberalism.
The Workers Party (PT) government in Brazil (2002-2018) and Indian National Congress (INC) (2004-2014) both blended neoliberal macroeconomic fundamentals with elements of welfarism and efforts to expand citizenship rights to marginalized constituencies. In India, this took the shape of a series of rights-based laws enshrining, access to information, basic education and, most important from a redistributive standpoint, the right to 100 days of paid public employment for every rural household. The PT’s flagship piece of welfare legislation was the famous Bolsa Familia program of conditional cash transfers. But, in fact, its most effective weapon against inequality was the progressive increases in the minimum wage, which rose by 75% between 2003 and 2013. Coupled with a favorable global environment, these demand-boosting policies helped to unleash rapid growth and elevate a large section of the poor into the lower rungs of the middle classes.
According to Heller, the eventual result of this was a furious political backlash from elites and the more established middle classes. This was animated by fear of intensified competition for traditionally hoarded jobs and opportunities and also by resentment at the breakdown of status hierarchies. Elites for their part resisted social policies for conventional reasons—their tendency to drain fiscal resources and weaken market dependence. The joining of these reactionary impulses produced what Heller calls “retrenchment populism” characterized by attacks on welfare and right-based legislation, but also by efforts to repress civil society and confine marginalized groups.
Recent data on voting patterns from Piketty’s World Inequality Lab seems to bear out this argument. It shows that the poor in Brazil largely remained loyal to the PT, while the party’s electoral decline was driven by the rapid desertion of voters in the top half and the top 10% of the income distribution. In India, the data reflect Modi’s success at consolidating the BJP’s bases among the wealthy and upper castes ahead of his 2014 victory. But it also reflects a sudden swing towards the BJP of a significant segment of the lower castes, won largely on the basis of appeals to religious conservativism charged with anti-Muslim bigotry. Bolsonaro achieved a similar result at a smaller scale in Brazil, garnering a beachhead of poorer voters through an alliance with conservative evangelical churches.
There are tempting comparisons to be made between ANC policy and welfare-neoliberalism of the PT and INC. The ANC also combined extensive liberalization and macroeconomic conservatism with social policies that, in comparative terms, have been generous and highly redistributive. However, the ANC never succeeded in unlocking the kind of rapid growth that Brazil and India achieved. Its social policies have had a more palliative quality—they’ve worked to temper the extremes of South African inequality without providing a strong springboard for middle class advancement. Consequently, resentment towards social entitlements for the poor has not been a lightning rod of middle-class politicization in the ways it has in other “emerging economies.”
Nevertheless, there are signs of fairly deep middle-class discontent coalescing around other issues that are potential pressure points for populist agitation. Corruption is a key one, extreme crime rates are another. And although usually associated with working class communities, anti-immigrant sentiment appears to have gained a good deal of cross-class resonance. These are all core issues around which Mashaba’s ActionSA mounted its highly successful first campaign last November. Ward-level data suggests that Mashaba managed to appeal to an impressively diverse constituency, with ActionSA voters fairly evenly spread across suburbs and townships (Table 2).

Despite these early successes, Mashaba and other aspiring populists will face major challenges in assembling the same kind of coalition that has powered authoritarian populisms elsewhere in the Global South. The first hurdle they face is that their potential middle-class base, which is small to begin with, is heavily segmented by racial divisions which were only deepened in these latest elections. Notwithstanding Mashaba’s small inroads, the DA’s pivot to color-blind, culture-war liberalism allowed it to recoup earlier losses and maintain its dominance of the white vote. Coloured voters defected in large numbers from the party, but largely to their own race-based parties.
It’s not really clear what strategy a party like ActionSA might muster for surmounting the deep racial loyalties of the middle-class electorate. It was virulent Hindu nationalism that yoked together Modi’s middle-class coalition across regional and caste lines, providing him not only voting fodder, but also disciplined cadres. Bolsonaro similarly draws his most fanatical, street-fighting battalions from chauvinistic, military-worshiping currents of nationalism with deep purchase in the middle class. There’s no equivalent force that could play the same role in South Africa—a pan-racial nationalism has never existed here.
Yet, when we subtract white, Indian and coloured voters, the South African middle class starts to look like a far flimsier foundation on which to try and build mass-based populism. What remains—the black middle class—is itself heavily divided. It comprises large parvenu layers that owe their class position to the party-state, to which they will have strong residual loyalties. Anti-corruptionism will have little traction among them. They’re likely to give far greater salience to continued opportunity hoarding by whites, but any pandering to those concerns will only alienate Mashaba from high-turnout suburbs.
What this means is that, for aspiring populists, plebeian votes will have to be a far larger part of their electoral math from the start. Anti-immigration and tough-on-crime stances will be powerful tools for making inroads into poor constituencies, and Mashaba has shown an ability to wield them effectively. Yet, while there is plenty of room for populist expansion among the poor, there will be strong limits to achieving the kind of majoritarian support that could subtend a full-blown “populist turn.”
In urban areas, Mashaba’s more conservative brand of populism will be contesting for space with the ethno-nationalist, class-inflected messaging of the EFF. Its growth potential will be closely governed by the pace of decomposition in ANC support. While clearly in decline, the latter remains overwhelmingly the dominant force within poor communities. Party realignment within the working class looks set to be a protracted process.
In the countryside, the dilemmas for new parties are magnified. The vast majority of the rural population lives under traditional authorities, which were originally the colonial state’s instruments of indirect rule. Today they’re a somewhat mixed bag: some abide by certain principles of consultative democracy while others, perhaps most, remain firmly in the colonial mold of concentrated patriarchal authority. For whatever reason, they’ve retained far greater legitimacy than other spheres of government (Table 3). Because they facilitate access to mining rights and influence the voting behavior of their “subjects,” they’ve become important cogs in the ANC’s patronage machinery, helping to secure its hold over the rural population in exchange for a share of the mineral rents and supportive legislation. Excluding KZN, where the party lost considerable ground to another ethnic formation, ANC support in 2021 held up far better in traditional areas than other parts of the country, declining at half the rate it did in large metros (Table 4).

Bypassing chiefly influence and re-tooling a populist message to directly appeal to rural constituents will be a significant challenge for new parties. It’s one that already seems to have deterred the EFF. Consistent with their open reversion to a politics of the belly, the party resorted to bribing a notoriously violent and corrupt Xhosa chief ahead of last year’s elections, and bragging about it on their social media.

A parcelized polity
In short, the dilemma facing populists, and indeed all political newcomers, is that the South African polity is parcelized by deep, cross-cutting cleavages. These have been to some extent obscured by the ANC’s expansive coalition, but will come to the fore again as that coalition fragments.
Three cleavages in particular have been highlighted in this analysis. The first and most primordial are racial and ethnic divisions. Two-and-a-half decades of formal equality has sadly done little to erode their salience. They present the most immediate challenge to parties trying to establish a base in the more diverse urban middle classes, but may come to assume wider relevance as the bonds of the ANC’s encompassing nationalism start to wither.
Second, are the deep divides created by the party-state. The ANC’s “cadre deployment” and procurement policies have created huge supporting constituencies and undergirded the construction of sophisticated political machines with extensive reach into poorer communities. But, inevitably, they’ve also fomented intense opposition. The corruption associated with the party-state is a source of profound outrage spanning all socio-economic fault-lines and even cutting through the elite sphere. Large-scale capital views the “tenderpreneurial” business class as a pronounced threat to the integrity and partiality of the state.
Finally, there are the cleavages created by South Africa’s “bifurcated state.” These are cleavages of conscious design, originating in the colonial era but maintained and reinforced by the democratic state. The ANC’s efforts to shore up traditional authorities as little archipelagos of despotism are continuing today through two major pieces of legislation on the traditional court system, one recently passed, the other nearing enactment. Whether conscious or not, this has proven an effective electoral strategy, helping the party to secure its bases in the hinterlands as it loses its grip on the cities.
Of course these cleavages are not immutable. Political parties don’t simply reflect divisions in the society but help to shape and re-make them. In the longer term it’s not at all impossible that some new populist formation will manage to cobble together a majoritarian coalition that cuts across and starts to erode these various fault lines. But for now the populist turn in South Africa looks to be a splintered one.
A takeover of the ANC by RET or some other faction remains by far the most likely near-term route to populist government. Patrimonial groups have the structural dynamics on their side—the ruralization of the party increases its relative clout at national congresses, which may well allow it to reverse the setbacks recently experienced. An RET victory, however, would immediately send the ANC’s electoral support further south and could even occasion splits in the Tripartite Alliance. The party would have to assume power in coalition (perhaps with the EFF) or with a wafer-thin majority. Unlike Modi or Bolsonaro it would have no green light from big business for undermining democratic institutions, so any movement in that direction would trigger capital flight and economic collapse.
That would create a dangerous dynamic. It could radicalize RET, forcing them to try and rapidly subvert the constitutional order rather than chipping away at it as other populists have done. But they’d likely be doing so from a position of weakness, heading a divided movement and with low levels of public support. Their success is far from guaranteed.
On the other hand, fragmentation may mean stasis. The same deep political cleavages make it harder for parties to find common ground and form functioning coalitions—as we’ve already seen at the local level. Even if they could do so, none of them have a serious vision of how to lead South Africa out of the intersecting, mutually reinforcing crises in which it’s become embroiled. Ending the ANC’s unassailable electoral advantage might bring some welcome changes—like a roll back of the party-state—but it won’t in and of itself deliver the structural reforms needed to seriously address poverty and unemployment.
Those crises have the potential to force South Africa down a path towards democratic breakdown very different from the ones that other countries have followed. The most acute danger is that the country gets trapped in a downward spiral of cumulative causation, in which mounting social disorder and disinvestment feed off each other. StatsSA’s recent announcement of a 1.5% retraction in GDP following weeks of unrest in July already gives us a foretaste of that frightening scenario. Self-reinforcing dynamics of this kind call for bold public action to break the cycle and set the country on a new path. But it’s not clear where the agency for such action would come from.
As ever there is an alternative. The wider processes of realignment underway also create the potential for realignment on the Left. For the whole democratic period the socialist movement has been weakened by its own cleavages, which have divided an “independent Left” rooted in social movements and small radical parties, from an ANC-aligned “official Left” with a base in the unions and the Communist Party. The fracturing of the ANC’s coalition is making it possible for these two halves of the Left to find each other once again and instill new life into class struggle politics.
For the marriage to work, both partners will have to be prepared to make major changes. The independent left will have to move quickly past the sectarianism and movementism that have plagued it in its years of marginalization. It will have to learn to think in bold political terms. As William Shoki argues it will have to take a large leaf out of the populist book, eschewing old doctrines and crafting a message capable of relating to people’s immediate demands for political inclusion and material redress.
But, unlike other Left populists, it cannot afford to confuse the message with the movement. If it is to keep its sights on the big structural changes we need, then it has to also remain committed to reviving and scaling up mass organizations, particularly those rooted in the structural power of labor. For that to happen, the organizations of the “official Left” not only have to be reclaimed from the ANC, but also fundamentally reformed. Historic traditions of shop-floor democracy and social movement unionism provide models for how this might be done.
The Left may only have a very limited window in which to put class politics back onto a mass footing. As we should know all too well in this country, parties have ways of institutionalizing themselves and establishing durable bonds of loyalty within their support base. If the Left fails to secure a seat at the table as the ANC coalition gets carved up it may find itself excluded for a generation or more.




